R-CMD-check

{ggflowchart}

{ggflowchart} is an R package for producing flowcharts using {ggplot2}.

Installation

Install the package from CRAN using:

install.packages("ggflowchart")

or install the development version from GitHub:

remotes::install_github("nrennie/ggflowchart")

Usage

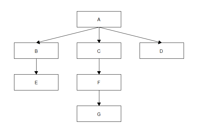
The idea of {ggflowchart} is to create simple flowcharts with minimal effort. Currently, all flowcharts are constructed using the ggflowchart() function. For the most basic flowchart, it takes as input a data frame containing (at least) two columns for the start and end points of the edges in the flowchart.

data <- tibble::tibble(from = c("A", "A", "A", "B", "C", "F"),
                       to = c("B", "C", "D", "E", "F", "G"))

The flowchart is then created using ggflowchart().

ggflowchart(data)

See vignettes for further examples of usage.

Upcoming features

Note: this package is currently a work-in-progress. Upcoming features that are currently listed as issues being worked on include:

If you have a suggestion of an additional feature, or find a bug, please file an issue on the GitHub repository.