CRAN_Status_Badge Downloads Downloads

merTools

A package for getting the most out of large multilevel models in R

by Jared E. Knowles and Carl Frederick

Working with generalized linear mixed models (GLMM) and linear mixed models (LMM) has become increasingly easy with advances in the lme4 package. As we have found ourselves using these models more and more within our work, we, the authors, have developed a set of tools for simplifying and speeding up common tasks for interacting with merMod objects from lme4. This package provides those tools.

Installation

# development version
library(devtools)
install_github("jknowles/merTools")

# CRAN version
install.packages("merTools")

Recent Updates

merTools 0.6.2 (Early 2024)

merTools 0.6.1 (Spring 2023)

merTools 0.5.0

New Features

Bug fixes

merTools 0.4.1

New Features

Bug fixes

Shiny App and Demo

The easiest way to demo the features of this application is to use the bundled Shiny application which launches a number of the metrics here to aide in exploring the model. To do this:

library(merTools)
m1 <- lmer(y ~ service + lectage + studage + (1|d) + (1|s), data=InstEval)
shinyMer(m1, simData = InstEval[1:100, ]) # just try the first 100 rows of data

On the first tab, the function presents the prediction intervals for the data selected by user which are calculated using the predictInterval function within the package. This function calculates prediction intervals quickly by sampling from the simulated distribution of the fixed effect and random effect terms and combining these simulated estimates to produce a distribution of predictions for each observation. This allows prediction intervals to be generated from very large models where the use of bootMer would not be feasible computationally.

On the next tab the distribution of the fixed effect and group-level effects is depicted on confidence interval plots. These are useful for diagnostics and provide a way to inspect the relative magnitudes of various parameters. This tab makes use of four related functions in merTools: FEsim, plotFEsim, REsim and plotREsim which are available to be used on their own as well.

On the third tab are some convenient ways to show the influence or magnitude of effects by leveraging the power of predictInterval. For each case, up to 12, in the selected data type, the user can view the impact of changing either one of the fixed effect or one of the grouping level terms. Using the REimpact function, each case is simulated with the model’s prediction if all else was held equal, but the observation was moved through the distribution of the fixed effect or the random effect term. This is plotted on the scale of the dependent variable, which allows the user to compare the magnitude of effects across variables, and also between models on the same data.

Predicting

Standard prediction looks like so.

predict(m1, newdata = InstEval[1:10, ])
#>        1        2        3        4        5        6        7        8 
#> 3.146337 3.165212 3.398499 3.114249 3.320686 3.252670 4.180897 3.845219 
#>        9       10 
#> 3.779337 3.331013

With predictInterval we obtain predictions that are more like the standard objects produced by lm and glm:

predictInterval(m1, newdata = InstEval[1:10, ], n.sims = 500, level = 0.9, 
                stat = 'median')
#>         fit      upr       lwr
#> 1  3.215698 5.302545 1.4367495
#> 2  3.155941 5.327796 1.2210140
#> 3  3.374129 5.287901 1.4875231
#> 4  3.101672 5.183841 0.9248584
#> 5  3.299367 5.298370 1.3287058
#> 6  3.147238 5.368311 1.1132248
#> 7  4.155194 6.273147 2.2167207
#> 8  3.873493 5.705669 1.9152401
#> 9  3.740978 5.737517 2.0454222
#> 10 3.291242 5.297614 1.2375007

Note that predictInterval is slower because it is computing simulations. It can also return all of the simulated yhat values as an attribute to the predict object itself.

predictInterval uses the sim function from the arm package heavily to draw the distributions of the parameters of the model. It then combines these simulated values to create a distribution of the yhat for each observation.

Inspecting the Prediction Components

We can also explore the components of the prediction interval by asking predictInterval to return specific components of the prediction interval.

predictInterval(m1, newdata = InstEval[1:10, ], n.sims = 200, level = 0.9, 
                stat = 'median', which = "all")
#>      effect         fit      upr       lwr obs
#> 1  combined  3.35554348 5.217964  1.615782   1
#> 2  combined  3.21487934 5.327824  1.114338   2
#> 3  combined  3.44493242 5.474256  1.809136   3
#> 4  combined  3.24123655 4.838427  1.272174   4
#> 5  combined  3.20539661 5.367651  1.068128   5
#> 6  combined  3.54335144 5.481756  1.585809   6
#> 7  combined  4.23212790 6.267669  2.284923   7
#> 8  combined  4.05055116 5.684968  1.931558   8
#> 9  combined  3.84266853 5.492163  2.091312   9
#> 10 combined  3.24121727 5.183680  1.196101  10
#> 11        s -0.02342248 1.948494 -1.691035   1
#> 12        s  0.04148408 2.091467 -1.782386   2
#> 13        s  0.04477028 2.087629 -2.144621   3
#> 14        s  0.26160482 2.114509 -1.733429   4
#> 15        s -0.10803386 1.714535 -1.982283   5
#> 16        s -0.04962613 1.916212 -1.909187   6
#> 17        s  0.24916111 2.001528 -1.628554   7
#> 18        s  0.19640074 2.070513 -1.473660   8
#> 19        s  0.27031215 2.119763 -1.643120   9
#> 20        s  0.13772544 2.313012 -1.855489  10
#> 21        d -0.32196201 1.357316 -2.397083   1
#> 22        d -0.29691477 1.422141 -2.662141   2
#> 23        d  0.24828667 1.782181 -1.987563   3
#> 24        d -0.37893052 1.471225 -2.350781   4
#> 25        d  0.02142086 2.172075 -2.148417   5
#> 26        d  0.07926221 2.003462 -1.677765   6
#> 27        d  0.76480967 2.767889 -1.274501   7
#> 28        d  0.08757337 2.374201 -1.958689   8
#> 29        d  0.25289032 2.083732 -1.376630   9
#> 30        d -0.17775160 1.601744 -2.115104  10
#> 31    fixed  3.16750528 5.010517  1.371678   1
#> 32    fixed  3.21493166 5.246672  1.074857   2
#> 33    fixed  3.36233628 5.581696  1.474776   3
#> 34    fixed  3.17926915 5.107315  1.621278   4
#> 35    fixed  3.16562882 5.136197  1.156010   5
#> 36    fixed  3.15944014 5.114967  1.506315   6
#> 37    fixed  3.32101367 5.149819  1.407884   7
#> 38    fixed  3.34020282 5.189215  1.651446   8
#> 39    fixed  3.17901802 5.000429  1.132874   9
#> 40    fixed  3.41100236 5.207451  1.555844  10

This can lead to some useful plotting:

library(ggplot2)
#> Warning: package 'ggplot2' was built under R version 4.3.2
plotdf <- predictInterval(m1, newdata = InstEval[1:10, ], n.sims = 2000, 
                          level = 0.9, stat = 'median', which = "all", 
                          include.resid.var = FALSE)
plotdfb <- predictInterval(m1, newdata = InstEval[1:10, ], n.sims = 2000, 
                          level = 0.9, stat = 'median', which = "all", 
                          include.resid.var = TRUE)

plotdf <- dplyr::bind_rows(plotdf, plotdfb, .id = "residVar")
plotdf$residVar <- ifelse(plotdf$residVar == 1, "No Model Variance", 
                          "Model Variance")

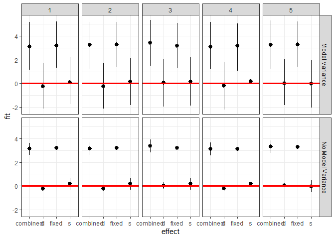
ggplot(plotdf, aes(x = obs, y = fit, ymin = lwr, ymax = upr)) + 
  geom_pointrange() +
  geom_hline(yintercept = 0, color = I("red"), size = 1.1) +
  scale_x_continuous(breaks = c(1, 10)) +
  facet_grid(residVar~effect) + theme_bw()
#> Warning: Using `size` aesthetic for lines was deprecated in ggplot2 3.4.0.
#> ℹ Please use `linewidth` instead.
#> This warning is displayed once every 8 hours.
#> Call `lifecycle::last_lifecycle_warnings()` to see where this warning was
#> generated.

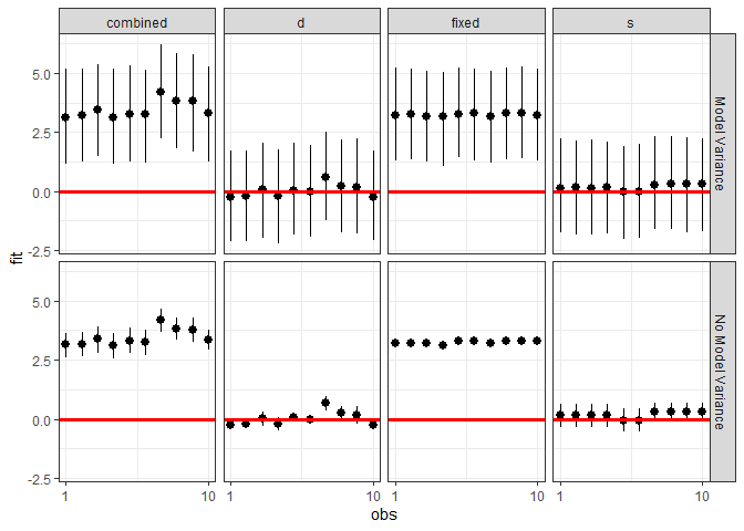
We can also investigate the makeup of the prediction for each observation.

ggplot(plotdf[plotdf$obs < 6,], 
       aes(x = effect, y = fit, ymin = lwr, ymax = upr)) + 
  geom_pointrange() +
  geom_hline(yintercept = 0, color = I("red"), size = 1.1) +
  facet_grid(residVar~obs) + theme_bw()

Plotting

merTools also provides functionality for inspecting merMod objects visually. The easiest are getting the posterior distributions of both fixed and random effect parameters.

feSims <- FEsim(m1, n.sims = 100)
head(feSims)
#>          term        mean      median         sd
#> 1 (Intercept)  3.22469489  3.22427807 0.01767782
#> 2    service1 -0.07112136 -0.07190156 0.01382577
#> 3   lectage.L -0.18681442 -0.18833173 0.01617233
#> 4   lectage.Q  0.02208290  0.02252175 0.01259911
#> 5   lectage.C -0.02656846 -0.02507924 0.01099316
#> 6   lectage^4 -0.02165334 -0.02073531 0.01355675

And we can also plot this:

plotFEsim(FEsim(m1, n.sims = 100), level = 0.9, stat = 'median', intercept = FALSE)

We can also quickly make caterpillar plots for the random-effect terms:

reSims <- REsim(m1, n.sims = 100)
head(reSims)
#>   groupFctr groupID        term        mean      median        sd
#> 1         s       1 (Intercept)  0.21300834  0.22465501 0.3266393
#> 2         s       2 (Intercept) -0.04278168 -0.08474934 0.3164631
#> 3         s       3 (Intercept)  0.41998629  0.42229608 0.2865010
#> 4         s       4 (Intercept)  0.28818926  0.28746523 0.3019460
#> 5         s       5 (Intercept)  0.05833502  0.03342223 0.3539464
#> 6         s       6 (Intercept)  0.08108947  0.08478943 0.2049882
plotREsim(REsim(m1, n.sims = 100), stat = 'median', sd = TRUE)

Note that plotREsim highlights group levels that have a simulated distribution that does not overlap 0 – these appear darker. The lighter bars represent grouping levels that are not distinguishable from 0 in the data.

Sometimes the random effects can be hard to interpret and not all of them are meaningfully different from zero. To help with this merTools provides the expectedRank function, which provides the percentile ranks for the observed groups in the random effect distribution taking into account both the magnitude and uncertainty of the estimated effect for each group.

ranks <- expectedRank(m1, groupFctr = "d")
head(ranks)
#>   groupFctr groupLevel      term   estimate  std.error       ER pctER
#> 2         d          1 Intercept  0.3944919 0.08665152 835.3005    74
#> 3         d          6 Intercept -0.4428949 0.03901988 239.5363    21
#> 4         d          7 Intercept  0.6562681 0.03717200 997.3569    88
#> 5         d          8 Intercept -0.6430680 0.02210017 138.3445    12
#> 6         d         12 Intercept  0.1902940 0.04024063 702.3410    62
#> 7         d         13 Intercept  0.2497464 0.03216255 750.0174    66

A nice features expectedRank is that you can return the expected rank for all factors simultaneously and use them:

ranks <- expectedRank(m1)
head(ranks)
#>   groupFctr groupLevel      term    estimate  std.error       ER pctER
#> 2         s          1 Intercept  0.16732800 0.08165665 1931.570    65
#> 3         s          2 Intercept -0.04409538 0.09234250 1368.160    46
#> 4         s          3 Intercept  0.30382219 0.05204082 2309.941    78
#> 5         s          4 Intercept  0.24756175 0.06641699 2151.828    72
#> 6         s          5 Intercept  0.05232329 0.08174130 1627.693    55
#> 7         s          6 Intercept  0.10191653 0.06648394 1772.548    60

ggplot(ranks, aes(x = term, y = estimate)) + 
  geom_violin(fill = "gray50") + facet_wrap(~groupFctr) +
  theme_bw()

Effect Simulation

It can still be difficult to interpret the results of LMM and GLMM models, especially the relative influence of varying parameters on the predicted outcome. This is where the REimpact and the wiggle functions in merTools can be handy.

impSim <- REimpact(m1, InstEval[7, ], groupFctr = "d", breaks = 5, 
                   n.sims = 300, level = 0.9)
#> Warning: executing %dopar% sequentially: no parallel backend registered
impSim
#>   case bin   AvgFit     AvgFitSE nobs
#> 1    1   1 2.775244 2.889334e-04  193
#> 2    1   2 3.251612 5.378474e-05  240
#> 3    1   3 3.535261 5.204943e-05  254
#> 4    1   4 3.834013 6.310989e-05  265
#> 5    1   5 4.220246 1.859937e-04  176

The result of REimpact shows the change in the yhat as the case we supplied to newdata is moved from the first to the fifth quintile in terms of the magnitude of the group factor coefficient. We can see here that the individual professor effect has a strong impact on the outcome variable. This can be shown graphically as well:

ggplot(impSim, aes(x = factor(bin), y = AvgFit, ymin = AvgFit - 1.96*AvgFitSE, 
                   ymax = AvgFit + 1.96*AvgFitSE)) + 
  geom_pointrange() + theme_bw() + labs(x = "Bin of `d` term", y = "Predicted Fit")

Here the standard error is a bit different – it is the weighted standard error of the mean effect within the bin. It does not take into account the variability within the effects of each observation in the bin – accounting for this variation will be a future addition to merTools.

Explore Substantive Impacts

Another feature of merTools is the ability to easily generate hypothetical scenarios to explore the predicted outcomes of a merMod object and understand what the model is saying in terms of the outcome variable.

Let’s take the case where we want to explore the impact of a model with an interaction term between a category and a continuous predictor. First, we fit a model with interactions:

data(VerbAgg)
fmVA <- glmer(r2 ~ (Anger + Gender + btype + situ)^2 +
           (1|id) + (1|item), family = binomial, 
           data = VerbAgg)
#> Warning in checkConv(attr(opt, "derivs"), opt$par, ctrl = control$checkConv, :
#> Model failed to converge with max|grad| = 0.0543724 (tol = 0.002, component 1)

Now we prep the data using the draw function in merTools. Here we draw the average observation from the model frame. We then wiggle the data by expanding the dataframe to include the same observation repeated but with different values of the variable specified by the var parameter. Here, we expand the dataset to all values of btype, situ, and Anger subsequently.

# Select the average case
newData <- draw(fmVA, type = "average")
newData <- wiggle(newData, varlist = "btype", 
                  valueslist = list(unique(VerbAgg$btype)))
newData <- wiggle(newData, var = "situ", 
                  valueslist = list(unique(VerbAgg$situ)))
newData <- wiggle(newData, var = "Anger", 
                  valueslist = list(unique(VerbAgg$Anger)))
head(newData, 10)
#>    r2 Anger Gender btype  situ id        item
#> 1   N    20      F curse other  5 S3WantCurse
#> 2   N    20      F scold other  5 S3WantCurse
#> 3   N    20      F shout other  5 S3WantCurse
#> 4   N    20      F curse  self  5 S3WantCurse
#> 5   N    20      F scold  self  5 S3WantCurse
#> 6   N    20      F shout  self  5 S3WantCurse
#> 7   N    11      F curse other  5 S3WantCurse
#> 8   N    11      F scold other  5 S3WantCurse
#> 9   N    11      F shout other  5 S3WantCurse
#> 10  N    11      F curse  self  5 S3WantCurse

The next step is familiar – we simply pass this new dataset to predictInterval in order to generate predictions for these counterfactuals. Then we plot the predicted values against the continuous variable, Anger, and facet and group on the two categorical variables situ and btype respectively.

plotdf <- predictInterval(fmVA, newdata = newData, type = "probability", 
            stat = "median", n.sims = 1000)
plotdf <- cbind(plotdf, newData)

ggplot(plotdf, aes(y = fit, x = Anger, color = btype, group = btype)) + 
  geom_point() + geom_smooth(aes(color = btype), method = "lm") + 
  facet_wrap(~situ) + theme_bw() +
  labs(y = "Predicted Probability")
#> `geom_smooth()` using formula = 'y ~ x'

Marginalizing Random Effects

# get cases
case_idx <- sample(1:nrow(VerbAgg), 10)
mfx <- REmargins(fmVA, newdata = VerbAgg[case_idx,], breaks = 4, groupFctr = "item", 
                 type = "probability")

ggplot(mfx, aes(y = fit_combined, x = breaks, group = case)) + 
  geom_point() + geom_line() + 
  theme_bw() + 
  scale_y_continuous(breaks = 1:10/10, limits = c(0, 1)) +
  coord_cartesian(expand = FALSE) +
  labs(x = "Quartile of item random effect Intercept for term 'item'", 
       y = "Predicted Probability", 
       title = "Simulated Effect of Item Intercept on Predicted Probability for 10 Random Cases")