modelbased

DOI downloads total

Make the most out of your models


modelbased is a package helping with model-based estimations, to easily compute marginal means, contrast analysis and model predictions.

The two probably most popular R packages for extracting these quantities of interest are emmeans (Lenth, 2024) and marginaleffects (Arel-Bundock et al., 2024). These packages pack an enormously rich set of features and cover (almost) all imaginable needs for post-hoc analysis of statistical models. But their power and flexibility can be intimidating for users not familiar with the underlying statistical concepts.

modelbased, built on top of these two packages, aims to unleash this untapped potential by providing a unified interface to extract marginal means, marginal effects, contrasts, comparisons, and model predictions from a wide range of statistical models. In line with the easystatsraison d’être, modelbased focuses on simplicity, flexibility, and user-friendliness to help researchers harness the full power of their models.

How to start?

The package’s approach simplifies estimation by focusing on three key questions:

  1. Predictor of Interest: Which variable’s effect do you want to analyze? This is specified with the by, contrast, or trend arguments.

  2. Evaluation Points: At which specific values should the predictor be evaluated? This is also defined in the by argument. For a more refined control over the evaluation points, see the data grids vignette.

  3. Target Population: What population should the inferences generalize to? The estimate argument controls this by defining whether predictions are for a typical individual, an average of the sample, or an average of a broader population.

Installation

CRAN modelbased status badge codecov

The modelbased package is available on CRAN, while its latest development version is available on R-universe (from rOpenSci).

Type Source Command
Release CRAN install.packages("modelbased")
Development R-universe install.packages("modelbased", repos = "https://easystats.r-universe.dev")

Once you have downloaded the package, you can then load it using:

library("modelbased")

Tip:

Instead of library(modelbased), use library(easystats). This will make all features of the easystats-ecosystem available.

To stay updated, use easystats::install_latest().

Documentation

Documentation Blog Features

Access the package documentation, and check-out these vignettes:

Features

The core idea behind the modelbased package is that statistical models often contain a lot more insights than what you get from simply looking at the model parameters. In many cases, like models with multiple interactions, non-linear effects, non-standard families, complex random effect structures, the parameters can be hard to interpret. This is where the modelbased package comes in.

To give a very simply example, imagine that you are interested in the effect of 3 conditions A, B and C on a variable Y. A simple linear model Y ~ Condition will give you 3 parameters: the intercept (the average value of Y in condition A), and the relative effect of condition B and C. But what you would like to also get is the average value of Y in the other conditions too. Many people will compute the average “by hand” (i.e., the empirical average) by directly averaging their observed data in these groups. But did you know that the estimated average (which can be much more relevant, e.g., if you adjust for other variables in the model) is contained in your model, and that you can get them easily by running estimate_means()?

The modelbased package is built around 4 main functions:

These functions are based on important statistical concepts, like data grids, predictions and marginal effects, and leverages other packages like emmeans and marginaleffects. We recommend reading about all of that to get a deeper understanding of the hidden power of your models.

Examples

Estimate marginal means

Check-out the function documentation and this vignette for a detailed walkthrough on marginal means.

library(modelbased)
library(ggplot2)

# 1. The model
model <- lm(Sepal.Width ~ Species, data = iris)

# 2. Obtain estimated means
means <- estimate_means(model, by = "Species")
means
## Estimated Marginal Means
## 
## Species    | Mean |   SE |       95% CI | t(147)
## ------------------------------------------------
## setosa     | 3.43 | 0.05 | [3.33, 3.52] |  71.36
## versicolor | 2.77 | 0.05 | [2.68, 2.86] |  57.66
## virginica  | 2.97 | 0.05 | [2.88, 3.07] |  61.91
## 
## Variable predicted: Sepal.Width
## Predictors modulated: Species

# 3. Custom plot
ggplot(iris, aes(x = Species, y = Sepal.Width)) +
  # Add base data
  geom_violin(aes(fill = Species), color = "white") +
  geom_jitter(width = 0.1, height = 0, alpha = 0.5, size = 3) +
  # Add pointrange and line for means
  geom_line(data = means, aes(y = Mean, group = 1), linewidth = 1) +
  geom_pointrange(
    data = means,
    aes(y = Mean, ymin = CI_low, ymax = CI_high),
    size = 1,
    color = "white"
  ) +
  # Improve colors
  scale_fill_manual(values = c("pink", "lightblue", "lightgreen")) +
  theme_minimal()

You can also get a “quick” plot using the plot() function:

plot(means)

Contrast analysis

Check-out this vignette for a detailed walkthrough on contrast analysis.

# 1. The model
model <- lm(Sepal.Width ~ Species, data = iris)

# 2. Estimate marginal contrasts
contrasts <- estimate_contrasts(model, contrast = "Species")
contrasts
## Marginal Contrasts Analysis
## 
## Level1     | Level2     | Difference |   SE |         95% CI | t(147) |      p
## ------------------------------------------------------------------------------
## versicolor | setosa     |      -0.66 | 0.07 | [-0.79, -0.52] |  -9.69 | < .001
## virginica  | setosa     |      -0.45 | 0.07 | [-0.59, -0.32] |  -6.68 | < .001
## virginica  | versicolor |       0.20 | 0.07 | [ 0.07,  0.34] |   3.00 |  0.003
## 
## Variable predicted: Sepal.Width
## Predictors contrasted: Species
## p-values are uncorrected.

Check the contrasts at different points of another linear predictor

model <- lm(Sepal.Width ~ Species * Petal.Length, data = iris)
difference <- estimate_contrasts(
  model,
  contrast = "Species",
  by = "Petal.Length",
  length = 3
)
# no line break for table
print(difference, table_width = Inf)
## Marginal Contrasts Analysis
## 
## Level1     | Level2     | Petal.Length | Difference |   SE |         95% CI | t(144) |      p
## ---------------------------------------------------------------------------------------------
## versicolor | setosa     |         1.00 |      -1.70 | 0.34 | [-2.37, -1.02] |  -4.97 | < .001
## virginica  | setosa     |         1.00 |      -1.34 | 0.40 | [-2.13, -0.56] |  -3.38 | < .001
## virginica  | versicolor |         1.00 |       0.36 | 0.49 | [-0.61,  1.33] |   0.73 |  0.468
## versicolor | setosa     |         3.95 |      -1.74 | 0.65 | [-3.03, -0.45] |  -2.67 |  0.008
## virginica  | setosa     |         3.95 |      -1.79 | 0.66 | [-3.11, -0.48] |  -2.70 |  0.008
## virginica  | versicolor |         3.95 |      -0.06 | 0.15 | [-0.35,  0.24] |  -0.37 |  0.710
## versicolor | setosa     |         6.90 |      -1.78 | 1.44 | [-4.62,  1.06] |  -1.24 |  0.218
## virginica  | setosa     |         6.90 |      -2.25 | 1.42 | [-5.06,  0.56] |  -1.58 |  0.116
## virginica  | versicolor |         6.90 |      -0.47 | 0.28 | [-1.03,  0.09] |  -1.65 |  0.101
## 
## Variable predicted: Sepal.Width
## Predictors contrasted: Species
## p-values are uncorrected.
# Recompute contrasts with a higher precision (for a smoother plot)
contrasts <- estimate_contrasts(
  model,
  contrast = "Species",
  by = "Petal.Length",
  length = 20,
  # we use a emmeans here because marginaleffects doesn't
  # generate more than 25 rows for pairwise comparisons
  backend = "emmeans"
)

# Add Contrast column by concatenating
contrasts$Contrast <- paste(contrasts$Level1, "-", contrasts$Level2)

# Plot
ggplot(contrasts, aes(x = Petal.Length, y = Difference, )) +
  # Add line and CI band
  geom_line(aes(color = Contrast)) +
  geom_ribbon(aes(ymin = CI_low, ymax = CI_high, fill = Contrast), alpha = 0.2) +
  # Add line at 0, indicating no difference
  geom_hline(yintercept = 0, linetype = "dashed") +
  # Colors
  theme_modern()

Create smart grids to represent complex interactions

Check-out this vignette for a detailed walkthrough on visualisation matrices.

# 1. Fit model and get visualization matrix
model <- lm(Sepal.Length ~ Petal.Length * Petal.Width, data = iris)

# 2. Create a visualisation matrix with expected Z-score values of Petal.Width
vizdata <- insight::get_datagrid(model, by = c("Petal.Length", "Petal.Width = c(-1, 0, 1)"))

# 3. Revert from expected SD to actual values
vizdata <- unstandardize(vizdata, select = "Petal.Width")

# 4. Add predicted relationship from the model
vizdata <- modelbased::estimate_expectation(vizdata)

# 5. Express Petal.Width as z-score ("-1 SD", "+2 SD", etc.)
vizdata$Petal.Width <- effectsize::format_standardize(vizdata$Petal.Width, reference = iris$Petal.Width)

# 6. Plot
ggplot(iris, aes(x = Petal.Length, y = Sepal.Length)) +
  # Add points from original dataset (only shapes 21-25 have a fill aesthetic)
  geom_point(aes(fill = Petal.Width), size = 5, shape = 21) +
  # Add relationship lines
  geom_line(data = vizdata, aes(y = Predicted, color = Petal.Width), linewidth = 1) +
  # Improve colors / themes
  scale_color_viridis_d(direction = -1) +
  scale_fill_viridis_c(guide = "none") +
  theme_minimal()

Generate predictions from your model to compare it with original data

Check-out this vignette for a detailed walkthrough on predictions.

# Fit model 1 and predict the response variable
model1 <- lm(Petal.Length ~ Sepal.Length, data = iris)
pred1 <- estimate_expectation(model1)
pred1$Petal.Length <- iris$Petal.Length # Add true response

# Print first 5 lines of output
head(pred1, n = 5)
## Model-based Predictions
## 
## Sepal.Length | Predicted |   SE |       95% CI | Residuals | Petal.Length
## -------------------------------------------------------------------------
## 5.10         |      2.38 | 0.10 | [2.19, 2.57] |     -0.98 |         1.40
## 4.90         |      2.00 | 0.11 | [1.79, 2.22] |     -0.60 |         1.40
## 4.70         |      1.63 | 0.12 | [1.39, 1.87] |     -0.33 |         1.30
## 4.60         |      1.45 | 0.13 | [1.19, 1.70] |      0.05 |         1.50
## 5.00         |      2.19 | 0.10 | [1.99, 2.39] |     -0.79 |         1.40
## 
## Variable predicted: Petal.Length

# Same for model 2
model2 <- lm(Petal.Length ~ Sepal.Length * Species, data = iris)
pred2 <- estimate_expectation(model2)
pred2$Petal.Length <- iris$Petal.Length


# Initialize plot for model 1
ggplot(data = pred1, aes(x = Petal.Length, y = Predicted)) +
  # with identity line (diagonal) representing perfect predictions
  geom_abline(linetype = "dashed") +
  # Add the actual predicted points of the models
  geom_point(aes(color = "Model 1")) +
  geom_point(data = pred2, aes(color = "Model 2")) +
  # Aesthetics changes
  labs(y = "Petal.Length (predicted)", color = NULL) +
  scale_color_manual(values = c("Model 1" = "blue", "Model 2" = "red")) +
  theme_modern()

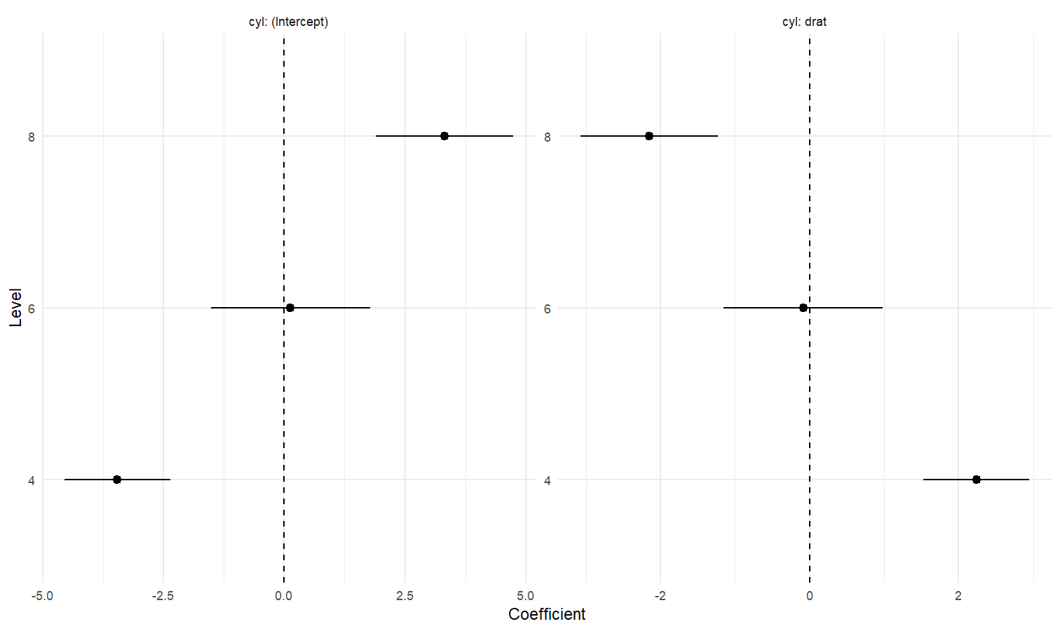
Extract and format group-level random effects

See this vignette for more information.

library(lme4)

model <- lmer(mpg ~ drat + (1 + drat | cyl), data = mtcars)

random <- estimate_grouplevel(model)
random
## Group | Level | Parameter   | Coefficient |   SE |         95% CI
## -----------------------------------------------------------------
## cyl   | 4     | (Intercept) |       -3.45 | 0.56 | [-4.55, -2.36]
## cyl   | 4     | drat        |        2.24 | 0.36 | [ 1.53,  2.95]
## cyl   | 6     | (Intercept) |        0.13 | 0.84 | [-1.52,  1.78]
## cyl   | 6     | drat        |       -0.09 | 0.54 | [-1.15,  0.98]
## cyl   | 8     | (Intercept) |        3.32 | 0.73 | [ 1.89,  4.74]
## cyl   | 8     | drat        |       -2.15 | 0.47 | [-3.07, -1.23]

plot(random) +
  geom_hline(yintercept = 0, linetype = "dashed") +
  theme_minimal()

Estimate derivative of non-linear relationships (e.g., in GAMs)

The two plots below represent the modeled (non-linear) effect estimated by the model, i.e., the relationship between the outcome and the predictor, as well as the “trend” (or slope) of that relationship at any given point. You can see that whenever the slope is negative, the effect is below 0, and vice versa, with some regions of the effect being significant (i.e., positive or negative with enough confidence) while the others denote regions where the relationship is rather flat.

Check-out this vignette for a detailed walkthrough on marginal effects.

library(patchwork)

# Fit a non-linear General Additive Model (GAM)
model <- mgcv::gam(Sepal.Width ~ s(Petal.Length), data = iris)

# 1. Compute derivatives
deriv <- estimate_slopes(model,
  trend = "Petal.Length",
  by = "Petal.Length",
  length = 200
)

# 2. Visualize predictions and derivative
plot(estimate_relation(model, length = 200)) /
  plot(deriv) +
  geom_hline(yintercept = 0, linetype = "dashed")

Describe the smooth term by its linear parts

model <- lm(Sepal.Width ~ poly(Petal.Length, 2), data = iris)

# 1. Visualize
vizdata <- estimate_relation(model, length = 30)

ggplot(vizdata, aes(x = Petal.Length, y = Predicted)) +
  geom_ribbon(aes(ymin = CI_low, ymax = CI_high), alpha = 0.3) +
  geom_line() +
  # Add original data points
  geom_point(data = iris, aes(x = Petal.Length, y = Sepal.Width)) +
  # Aesthetics
  theme_modern()



# 2. Describe smooth line
describe_nonlinear(vizdata, x = "Petal.Length")
## Start |  End | Length | Change | Slope |   R2
## ---------------------------------------------
## 1.00  | 4.05 |   0.50 |  -0.84 | -0.28 | 0.05
## 4.05  | 6.90 |   0.47 |   0.66 |  0.23 | 0.05

Plot all posterior draws for Bayesian models predictions

See this vignette for a walkthrough on how to do that.

Understand interactions between two continuous variables

Also referred to as Johnson-Neyman intervals, this plot shows how the effect (the “slope”) of one variable varies depending on another variable. It is useful in the case of complex interactions between continuous variables.

For instance, the plot below shows that the effect of hp (the y-axis) is significantly negative only when wt is low (< ~4).

model <- lm(mpg ~ hp * wt, data = mtcars)

slopes <- estimate_slopes(model, trend = "hp", by = "wt", length = 200)

plot(slopes)

Visualize predictions with random effects

Aside from plotting the coefficient of each random effect (as done here), we can also visualize the predictions of the model for each of these levels, which can be useful to diagnostic or see how they contribute to the fixed effects. We will do that by making predictions with estimate_relation() and setting include_random to TRUE.

Let’s model the reaction time with the number of days of sleep deprivation as fixed effect and the participants as random intercept.

library(lme4)

model <- lmer(Reaction ~ Days + (1 | Subject), data = sleepstudy)

preds <- estimate_relation(model, include_random = TRUE)

plot(preds, ribbon = list(alpha = 0)) # Make CI ribbon transparent for clarity

As we can see, each participant has a different “intercept” (starting point on the y-axis), but all their slopes are the same: this is because the only slope is the “general” one estimated across all participants by the fixed effect. Let’s address that and allow the slope to vary for each participant too.

model <- lmer(Reaction ~ Days + (1 + Days | Subject), data = sleepstudy)

preds <- estimate_relation(model, include_random = TRUE)

plot(preds, ribbon = list(alpha = 0.1))

As we can see, the effect is now different for all participants. Let’s plot, on top of that, the “fixed” effect estimated across all these individual effects.

fixed_pred <- estimate_relation(model) # This time, include_random is FALSE (default)

plot(preds, ribbon = list(alpha = 0)) + # Previous plot
  geom_ribbon(data = fixed_pred, aes(x = Days, ymin = CI_low, ymax = CI_high), alpha = 0.4) +
  geom_line(data = fixed_pred, aes(x = Days, y = Predicted), linewidth = 2)

Technical Details

The algorithmic heavy lifting is done by {modelbased}’s two back-end packages, {emmeans} and {marginaleffects} (the default), which can be set as a global option (e.g., with options(modelbased_backend = "emmeans")).

Of the two, {emmeans} (Russell, 2024) is the more senior package and was originally known as {lsmeans} (for “Least-Squares Means”). This term has been historically used to describe what are now more commonly referred to as “Estimated Marginal Means” or EMMs: predictions made over a regular grid—a grid typically constructed from all possible combinations of the categorical predictors in the model and the mean of numerical predictors. The package was renamed in 2016 to {emmeans} to clarify its extension beyond least-squares estimation and its support of a wider range of models (e.g., Bayesian models).

Within {emmeans}, estimates are generated as a linear function of the model’s coefficients, with standard errors produced in a similar manner by taking a linear combination of the coefficients’ variance-covariance matrix. For example if \(b\) is a vector of 4 coefficients, and \(V\) is a 4-by-4 matrix of the coefficients’ variance-covariance, we can get an estimate and SE for a linear combination (or set of linear combinations) \(L\) like so:

\[ \hat{b} = L \cdot b \]

\[ SE_{\hat{b}} = \sqrt{\text{diag}(L \cdot V \cdot L^T)} \]

These grid predictions are sometimes averaged over (averaging being a linear operation itself) to produce “marginal” predictions (in the sense of marginalized-over): means. These predictions can then be contrasted using various built-in or custom contrasts weights to obtain meaningful estimates of various effects. Using linear combinations with regular grids often means that results from {emmeans} directly correspond to a models coefficients (which is a benefit for those who are used to understanding models by examining coefficient tables).

{marginaleffects} (Arel-Bundock et al., 2024) was more recently introduced and also relies on the Delta method, but uses numeric differentiation (and can easily switch to bootstrap or simulation-based approaches). By default, it estimates various effects by generating two counter-factual predictions of unit-level observations, then taking the difference between them - which can easily be done on the response scale, rather than the link scale. Because these effects are calculated for every observation, they can then be averaged (e.g., as an Average Treatment Effect). This approach is more iterative compared to the linear matrix multiplication used by {emmeans}, but is similarly efficient.

While both packages employ the Delta method to obtain standard errors on transformed scales, they differ in how they construct and average predictions. {emmeans} often produces effects at the mean of non-focal predictors (via linear contrasts), whereas {marginaleffects} tends to compute mean effects by averaging over observations. Depending on the model and the type of quantity you want to estimate, results from these two approaches can be very similar—or differ in interesting ways.

Note that {emmeans} can also perform numeric differentiation or use non-regular grids, just as {marginaleffects} can construct linear predictions at the mean. Because each package has evolved with slightly different philosophies regarding how to form and interpret predictions, users can select whichever approach best suits their research questions. In {modelbased}, you can switch easily between either back end by setting the global option, for example options(modelbased_backend = "marginaleffects"), to access these features.

Finally, {modelbased} leverages the get_datagrid() function from the {insight} package (Lüdecke et al., 2019) to intuitively generate an appropriate grid of data points for which predictions or effects or slopes will be estimated. Since these packages support a wider range of models - including generalized linear models, mixed models, and Bayesian models - {modelbased} also inherits the support for such models.

Citation

If this package helped you, please consider citing as follows:

Makowski, D., Ben-Shachar, M. S., Wiernik, B. M., Patil, I., Thériault, R., & Lüdecke, D. (2025). modelbased: An R package to make the most out of your statistical models through marginal means, marginal effects, and model predictions. Journal of Open Source Software, 10(109), 7969. doi: 10.21105/joss.07969

Code of Conduct

Please note that the modelbased project is released with a Contributor Code of Conduct. By contributing to this project, you agree to abide by its terms.

Arel-Bundock, V., Greifer, N., & Heiss, A. (2024). How to interpret statistical models using marginaleffects for R and Python. Journal of Statistical Software, 111, 1–32. https://doi.org/10.18637/jss.v111.i09
Lenth, R. V. (2024). emmeans: Estimated marginal means, aka least-squares means. https://doi.org/10.32614/CRAN.package.emmeans